ホームへ戻る

◇◇ 2020年 夏休みビジネス観察ノート ◇◇

 コロナ禍でしたが、県立高校での対面授業が5月再開されました。困難がありましたが
新しい授業スタイルを経験することになりました。教室での一斉授業のスタイルから自宅
でのリモート授業、インターネットを介しての双方向の展開。
 以下に紹介するのは、三重県立四日市商業高校商業科第1学年科目「ビジネス基礎」で
のLINEのオープンチャットを活用した「スイーツの研究」社会的構成主義の教科実践です。
 教科書での学習ではなく、自らの体験をチャットを使って交流し、スイーツの「ヒミツ」
を考えました。
 観察結果の交流とベスト3の決定、そして人気のヒミツとは、何かを考察しました。
                              2020.9.28
    ◇ 街で見つけたステキなお店と美味しいスイーツ ◇
 
      
赤福茶屋 四日市市山之一色町
赤福 760円(税込)

      
8月24日 餡子の口どけが良く餅が柔らかくて、とても美味しかったです。後味がスッキリしていて甘さ控えめなので、 餡子が苦手な自分でもぱくぱく食べる事が出来ました。赤福が入っていた木箱には餅がくっつかない様に工夫がしてありました。 [B08]  


とらや勝月 鈴鹿三日市
ライダーもなか 125円(税込)

 
 

8月26日 中に粒あんが入っておりもなかとの相性がとてもよかった。 もなかのパサパサ感と粒あんのしっとり感という2つの食感を楽しめる。みためはバイクに乗っている人や車輪などとても細かいところまでこだわっていた。 1個125円というお手頃な価格なので買いやすいのも魅力的。 [B17]  


サンマルクカフェ イオンモール東員
チョコバナナフレンチトースト \540+税

 
 

8月26日 暖かいフレンチトーストに冷たいアイスクリームが着いてきてとても美味しかったです。 チョコバナナが付いていない普通のフレンチトーストも売っています。どちらもとても美味しいのでオススメです。ぜひ食べてみてください![C22]  


コージーコーナー イオン尾平店
シャインマスカットショート 450円

 
 

8月26日 マスカットゼリーが混ざっているヨーグルト風味のクリームは少し酸味があり、 主役のマスカットの甘さを引き立てています。また、上に乗っているシャインマスカットはパリッと弾ける食感で夏の爽快感が味わえます。[C31]  


CAKE COUPAGE 四日市市西坂部町
シャインマスカットタルト 650円

 
 

8月21日 マスカットがたくさんのっていてみずみずしく、タルトのサクサクとした食感と程良い甘みがマッチしてとても美味しかったです。 マスカットが食べたくなったらぜひ、食べてほしいです。[C39]  


PINEDE 四日市市松本3丁目
ミルフィーユ 450円

 
 

8月21日 サクサクのパイの下にはカスタ−ドクリ−ムとホイップクリームがあり、飽きることなく味を楽しめます。 中には、いちごとブルーベリーが詰め合わさっていて、パイとクリ−ムを一緒に味わうとより美味さが引き立ちます。[C12]  


OAHU 京都市上京区堀川今出川上る
桃のレアチーズケーキ 800円

 
 

8月21日 レアチーズムースの上に白桃と桃のソースがあり、桃の甘酸っぱさとチーズとのバランスがとれていてさっぱり とした味なので飽きずに食べることができます。[C05]  


CasaTabe 四日市市諏訪栄町
ガトーショコラとモカソフトとフルーツ盛り合わせ 時価
 
 

8月25日 フルーツのセミフレットはたくさんのフルーツとクリームチーズが使われていてムースを凍らせたイタリアの ドルチェでカシスのシャーベットは甘酸っぱくてガトーショコラは程よい甘さでモカソフトはコーヒーの味がしてたくさんの味を交互に食べる ことができるのでとても楽しいです。オーダーメイドです。[C40]  


フルーツスノーオオスミ 桑名市北寺町
いちごかき氷 800円

 
 

8月21日 ミルク氷を削り濃厚な味わいに少し酸味の聞いた苺がとてもあいます。 生クリームやババロア、アイスが入っていてとても豪華なかき氷です。 氷の食感、甘さなどがとても癖になる美味しさで、この夏にピッタリなスイーツでした。[C09]  


ガトーヴァレ イオンモール 東員店
苺のべリーヌ 450円

 
 

8月22日 1番上にいちごのソースがかかったホワイトチョコが乗っていてそこから生クリーム、 スポンジがありホワイトチョコで仕切られています。一番下にはカスタードが入っています。 1つのケーキでたくさんの味が楽しめるので楽しいです。イチゴもさっぱりしていて夏にピッタリです。[C36]  


夢菓子工房本店ことよ 西日野町
みたらし団子 1個64円(税込)

 
 

8月22日 1本1本の単価がとても安く、子供でも買いやすい。一般で売られているみたらし団子よりも無添加なため出来たてはとてももちもちしていると感じた。地元「ヤマコ醤油」で作られる秘伝のタレが美味しくて、たまらない1品です。 他にも単価が安く美味しい和菓子が沢山売られています。[B07]  


Cafe de un Daniel's 桑名市大央町
自家製ガトーショコラ 700円

 
 

8月22日 ガトーショコラといえば重たい・生地がしっかりしている印象があったけど、このガトーショコラは軽くて食べやすかったです。 生クリームとバニラアイスが添えてあり一緒に食べるとまた違った味が楽しめました。[C34]  


アニバーサリー 松阪市川井町
プラリネとミルクチョコのグラス 680円

 
 

8月20日 桃が甘くて、ピンクのムースや上にのっているラズベリーが少し酸味があり甘すぎず、 中のクルミの歯応えやしっとりしたスポンジケーキがとても美味しかったです。[C03]  


アトリエ オランジェ 四日市市新正1丁目
アンジュブラン メロン 470円

 
 

8月20日 生地は普通のスポンジではなくシフォンケーキのようなふわふわな生地です。生地の間にメロンが挟んでありました。 生クリームは甘さ控えめでおいしく見た目もオシャレでした。[C18]  


Cafe & Meal MUJI 近鉄四日市店 5階
かき氷 いちご 600円

 
 

8月20日 いちごの酸味と絶妙な甘いシロップがかかっており、柔らかい食感にこだわっている氷との相性が最高でした。夏の暑い日のご褒美にぴったりです。[C32]  


クロード・リュッツ 四日市市栄町
キャラメルカフェ 400円

 
 

8月20日 シンプルな見た目の大人っぽいムースケーキ。ムースで上の表面がコーティングされていて形が崩れることなく食べやすかったです。 一番下の方はコーヒーの少し苦い味がしますが上のキャラメルと生クリームでちょうど良い甘さでした。 ムースケーキなのでシンプルな食べ応えかと思いきや、上に少しナッツがあるのでナッツのコロコロ感を楽しんで食べられます。[B02]  


アトリエオランジェ 四日市市新正1丁目
オランジェのショートケーキ362円

 
 

8月19日 スポンジがとてもふわふわで、苺が上と中にたくさん入っているので甘すぎず食べやすいです。 味も美味しいですが、見た目もおしゃれなので口と目の両方楽しめます。[C30]  


港屋珈琲 四日市インター店
ミニオカブラン 420円

 
 

8月20日 丁度いい焦げ目のパンケーキに甘すぎないホイップクリームと様々なフルーツが乗ったスイーツです。 特にホイップクリームは口当たりが良く、ふわふわとした食感でとてもクリーミーな味わいでした。[C38]  


パティスリー シェ ニノ
三重郡朝日町白梅の丘西1丁目
エキゾチック 648円

 
 

8月20日 バパマンガピューレを使ったかき氷でとてもふわふわしていました。 また、氷の上に乗っているブラックペッパーがアクセントとなり、想像以上にマッチしていました。 さらに下にはココナッツのブランマンジェがあり、一品で様々な味が楽しめました。[C27]  


お菓子のお店 モリエール 四日市市笹川2-7
ショコラモリエール 1個180円

 
 

8月20日 生チョコとチョコケーキを一緒に食べたいとシェフが思い、作り上げた商品です。 ショコラ生地に生チョコがサンドされています。甘いものが苦手な私でもちょうどいい大きさで食べやすくてとても美味しいです。[C21]  


伊勢抹茶カフェ 鈴鹿市長澤町
石臼挽きソフトクリーム 500円

 
 

8月19日 無添加の本物の抹茶を味わうことが出来ます。口に入れた瞬間に抹茶の香りがして、あとから少し苦味が来ます。 でも苦すぎず甘みもあり、とても濃厚でした。スーパーなどで売っている抹茶のアイスとは全く別物で100%の抹茶を楽しむことができます。[C26]  


たまきや 名張市赤目町長坂
へこきアイス 450円

 
 

8月19日 さつまいも生地で作られたまんじゅうの間にさつまいもアイスが挟まっています。さつまいものごろっと感と甘さがあり、 普段あまり食べない親でも美味しいと言って食べていて、どの世代でも楽しめると思います。[C14]  


ピネード 近鉄四日市店
桃のショートケーキ 551円

 
 

8月19日 全体的に甘さ控えめでみずみずしい桃とスポンジの相性がとても良く食べやすかったです。 桃がたくさん使われていてしかもとてもジューシーで旬の果物を味わえるしスポンジと一緒に食べても美味しいという一石二鳥のようなケーキでした。 とても美味しかったです。[C29]  


魔法庵 桑名市大字星川
もちもち小麦の焼きバウム 710円

 
 

8月19日 材料にもこだわっていて、しっとりもちもちとしており甘さも丁度良かったです。 生クリームとアイスクリームも一緒に食べるとさらに美味しかったです。[C13]  


シャトレーゼ四日市北店 大字茂福
クレープ・オ・フリュイ 324円

 
 

8月17日 ケーキにはたくさんのフルーツが入っているため、くどすぎずとても美味しかったです。 クレープの生地の間にはスポンジも挟まれていてミルクレープとケーキの2つの味が楽しめます。[C16]  


和食麺処サガミ 四日市市八田三丁目
マンゴーパフェ650円+税

 
 

8月17日マンゴーの果実がいっぱい入っていて、美味しい。上に乗ったアイスとベリーソースの相性がバッチリで 甘酸っぱい味がする。隣にあるさくらんぼもいい味を出していてとても美味しい。暑い夏にはピッタリのスイーツです。[B40]  


Cafe&Meal MUJI 近鉄四日市店5階
ガトーショコラとベリーのパフェ 800円

 
 

8月17日 印象‥いろんな食感が楽しめそう 感動‥チュイルがあることで見た目にも、味にもいいアクセントになっている 分析‥チョコクリーム、ベリーソース、ホイップクリーム、くるみ、ガトーショコラが層になっていて、 その上にチョコソースがかかったソフトクリームとチュイルが乗ってる贅沢な一品[C02]  


サーティーワンアイスクリーム 四日市生桑店
ポッピングソーダ 520円

 
 

8月18日 甘すぎないソーダの上に,サーティーワンイチオシのポッピングシャワーをのせた飲み物。甘すぎないソーダとぱちぱち食感の楽しめるポッピングシャワーとの相性は抜群。 ポッピングシャワーだけでなく他のアイスフレーバーに変えることも出来るので暑い夏にピッタリです。[C08]  


鞍馬サンド 鈴鹿市野村町
宝玉 380円 蛍 350円

 
 

8月16日 中に沢山のフルーツが入っておりボリュームのあるフルーツサンド。 中に入っているフルーツが酸っぱくなく、ちょうど良い甘さで、クリームともマッチし、とても食べやすいフルーツサンドです。 甘党な人には是非食べてもらいたい一品です。 [C19]  


パティスリー リール 四日市市下さざらい町
ももちゃん 720円

 
 

8月17日 ジューシーな桃を丸ごと使っていて中にはカスタードクリームが入っています。 桃とクリームの相性がとても良く、ボリュームがあるけれど、くどくなくてあっという間に食べれました。 何より見た目が可愛いです。[C23]  


CHERIR SUZUKA 鈴鹿市桜島町
なめらか杏仁 540円

 
 

8月17日 杏仁豆腐の上にたくさんのフルーツがのっています。とてもなめらかな杏仁豆腐と甘酸っぱい フルーツはよく合っていておいしかったです。フルーツにはつやがありとてもきれいでした。見た目も味も良かったです。[C06]  


赤福 本店 伊勢市宇治中之切町
赤福氷 530円 赤福(盆)220円

 
 

8月17日 宇治抹茶のかき氷で中にあんこともちが入っています。 宇治抹茶が苦すぎず赤福ともよくあっていて、暑い日でも汗が引いていきます。 和を感じることができ、とても美味しかったです。[C25]  


コメダ珈琲店鈴鹿中央通店
チョコドルチェ 450円

 
 

8月16日 なめらかなチョコクリームをふんわりしたココアスポンジでサンド。 とっても小さいクルミがクリームとスポンジの間に挟まっており、ふんわりした食感とコロコロした食感が楽しめます。 [B05]  


お菓子のお店モリエール 四日市市笹川
桃のタルト 430円+税

 
 

8月16日 スポンジがふわふわで円になっていて中までクリームが入っている。クリームはくどくならない 甘さで、中にはカスタードクリームと苺が入っている。この店はその時期の1番美味しい フルーツのケーキが並んでいます。 [B25]  


コメダ珈琲店 近鉄百貨店ふれあいモール内
Kuro-neige(クロネージュ) 550円

 
 

8月16日 温かいココアバームクーヘンの上に冷たいアイスクリームがのっているので温冷を楽しみ ながら食べられます。ココア風味は強すぎず、洋酒も効いていて少し大人の味でした。 [C17]  


口福堂 イオン尾平店
ピオーネ大福 248円

 
 

8月16日 今が旬のピオーネを丸ごと1粒使った葡萄大福。冷たくした大福は、 もちもちの皮、甘さ控えめの葡萄餡、甘酸っぱい果汁のピオーネは、季節を感じる美味しさです。 [C35]  


丸三製菓セボンマルサン 富洲原町
生いちごスペシャル 700円

 
 

8月15日 ふわっふわで軽い氷に濃厚なイチゴシロップがかかっていて、上にはエスプーマがのっていて 飽きずにさっぱりと食べれる。中にはシャーベットが入っているのでこの暑い夏にぴったりでボリューミーだけどまだ まだ食べたくなるかき氷! 。[B31]  


モロゾフ 四日市市諏訪栄町
清水白桃のプリン 378円

 
 

8月15日 白桃のピューレとプリンと白桃のゼリーの3層になっていて全部を一気に食べるとさっぱりな桃 とプリンの甘みを一緒に味わうことができます。桃をそのまま食べているような上品な甘さと香りを楽しむことができます。 夏にぴったりなくどくないさっぱりしたプリンでした。[C15]  


EXPASA 御在所上り線赤福茶屋
赤福氷 530円

 
 

8月16日 夏季限定商品でふわふわの氷の上には美味しい抹茶の蜜がかかっています。 中には赤福が入っており、餡子と抹茶の組み合わせがベストマッチ。甘すぎずかと言って抹茶が濃すぎることも無い ちょうど良い甘さで、抹茶が苦手な私でも美味しく食べれます。 [B27]  


STEPS Sandwich Bar 四日市市平津新町屋
みかんとカスタード 330円

 
 

8月16日 パンの間にみかんとカスタードと生クリームが挟まっていて、 生クリームもカスタードも甘すぎず食べやすい。パンの端まで中身がつまっているので 最後まで美味しく食べれます。サイズも大きすぎず小さすぎないので1つで満足できます。 [B38]  


丸三製菓セボンマルサン 富洲原町
抹茶ティラミス 700円

 
 

8月13日 氷がフワフワで抹茶の味がしつこくないので食べていて全然飽きがきませんでした。 かき氷の中にはバニラアイスとあずきが入っていてとても美味しかったです。[C24]  


イエローテイル 鈴鹿市木田町
オレンジタルト?マンゴーソース? 650円

 
 

8月15日 下はタルト生地でその上に沢山のオレンジがのっています。オレンジにはマンゴーソースが かかっていてオレンジとマンゴーの相性は抜群でした。サイズもちょうど良くとても食べやすかったです。[C10]  


ケーキ・クパージュ四日市市西坂部町
シャインマスカットタルト 650円

 
 

8月14日 クリームが甘すぎずシャインマスカットと一緒に食べるとちょうどいい甘さになります。 そして1番下はタルトになっていて柔らかいスポンジとサクッとしたタルトは相性抜群です。 ブルーベリーの上には金粉が乗っていてマスカットもシャキッとしていてとても美味しかったです。 [B09]  


CHERIR SUZUKA 鈴鹿市桜島町
桃のコンポートとゼリー寄せ 560円

 
 

8月15日 今が旬の桃を使ったスイーツになっており、写真では見にくいですがゼリーの下にクリームがあり、 桃と相性が抜群です。そして何より桃のコンポートがさっぱりしていてとても美味しかったです。 [B36]  


シャトレーゼ 四日市市日永西3丁目
ブルーベリーレアチーズ 280円

 
 

8月13日 柔らかい生地で、甘さも強くなく とても食べやすいです。ブルーベリーが沢山乗っていて、 甘酸っぱい酸味を楽しめます。価格も手軽で小さすぎず、大きすぎずのサイズでオススメです。[C33]  


多度グリーンファーム 桑名市多度町
ももサンド \600

 
 

8月12日 生クリームの甘さが控えめで、フルーツそのものの甘さでさっぱりいただけます。フルーツを食べたい人はぜひどうぞ!!。[B32]  


シャトレーゼ 四日市市日永西3丁目
ブルーベリーレアチーズ 280円

 
 

8月12日 柔らかい生地で、甘さも強くなく とても食べやすいです。ブルーベリーが沢山乗っていて、 甘酸っぱい酸味を楽しめます。価格も手軽で小さすぎず、大きすぎずのサイズでオススメです。 [C28]  


シャトー 亀山市東町
いちごのミルフィーユ 480円

 
 

8月13日 クリームが甘すぎず、とてもちょうど良い甘さで甘いのが苦手な人でも美味しく食べる ことができると思います。上にのっている果物などもミルフィーユと良く合っていてとても美味しかったです。[B06]  


菓匠 清閑院 近鉄四日市
京てまり \972

 
 

8月10日 丸くカラフルな見た目の可愛らしい寒天ゼリーです。 外側はシャリシャリ、中はぷるっとろっとした不思議な食感が楽しめ、果物感が強く程よい甘さがあるので、とても食べやすい商品になっています。[B39]  


サロン・ド・テ・モロゾフ 近鉄四日市
チョコレートパフェムース仕立て 990円

 
 

8月11日 パフェの中にはアーモンドやチョコレートムースが入っていていろいろな食感が楽しめます。 またアイスクリームがたくさん入っているので暑い夏にはぴったりです。 [C07]  


Honmatsu 名古屋市南区南野店
パインボール 680円

 
 

8月11日 フルーツが沢山入っていて、フルーツとなかに入っているスポンジとカスタードの相性が[B22]  


BROOK CAFE&ZAKKA 四日市市城西町
ベイクドチーズケーキ 650円

 
 

8月12日 中に生クリームがサンドしてあり珍しい。量が丁度良くてクリームチーズの濃厚な味にいちじくの甘さと ブルーベリーの酸味が合わさって美味しかった。チーズ好きの人にはたまらない味でまた食べたくなる。[C37]  


CAKECOUPAGE 四日市市西坂部町
桃のコンポート 440円

 
 

8月10日 みずみずしい桃の周りに桃のジュレがあり口に入れる度に桃の香りがふわっとしました。 桃の中には甘いカスタードとしっとりとしたスポンジが入っていて程よい甘さが更に桃の甘さを引き立てていて美味しかったです。[C11]  


LAWSON 四日市あかつき台店
お抹茶もちもち もち食感ロール 380円(税込)

 
 

8月9日 抹茶の層が4種類あり、どれも違う濃さの抹茶のため沢山の味が楽しめる。 もちもちの部分が外と中心の2箇所にあり、外側は抹茶のわらびもち、中心は抹茶寒天で出来ている。 コンビニスイーツとは思えないほどクオリティーが高い抹茶好きにオススメ![B15]  


PATISSERIE KOMONO(パティスリーコモノ)
いちごいっぱいタルト 648円

 
 

8月9日 一番下のタルト生地が約2cmあり、しっとりしていて甘さは控えめで、とても食べやすかった。 その上にカスタードクリームとスポンジで三層になっていて、スポンジはとてもふわふわでした。いちごが甘酸っぱい分、 いちごジャムと生クリームでちょう良いバランスで甘いのが苦手な私でも食べやすかったです。いちごの芯がくり抜いてあり、 その中にカスタードクリームとスポンジが入っていて、今までに食べたことの無いいちごタルトでした。[B13]  


卵卵ふわぁ?む四日市店 智積町
地養卵たっぷりん 250円

 
 

8月9日 容器が卵の形になっていて可愛いので食べた後に洗ってちょっとした入れ物にも使える。 味はとても甘く濃厚です。卵の本来のおいしさがあります。下のキャラメルがあり、甘すぎないのでプリンとキャラメルの相性がとても良いです。[B20]  


御菓子司いしざき 四日市市万古町
「たかし君のいちご大福 」 190円

 
 

8月7日 いちごが大きくて、まわりのお餅は薄くて柔らかい。あんこは白あんになっていて、 いちごの甘酸っぱさと白あんの甘みの相性が良い。いちごがみずみずしく果汁が出てくるのが美味しいです。 ウドちゃんの「旅してゴメン」でも紹介されました。[B18]  


パティスリー「ラ・セディーユ」 四日市市日永
「クレームブリュレ」 350円

 
 

8月9日 表面は注文後に焼き目をつけるため、食べる時にパリパリして今まで食べたプリンとはまた違う 感触を楽しめました。器もオシャレなので、見た目から満足感を得られます。[C20]  


Cafe Rob いなべ市北勢町阿下喜
スフレパンケーキプレーン 900円

 
 

8月10日 ベーキングパウダーを使わずメレンゲだけで焼き上げたパンケーキはフワフワで、中はトロトロ。 付いている北海道十勝プレミアムソフトと一緒にたべるとパンケーキとの相性は抜群です。 [C04]  


EXPASA 御在所上り店「赤福茶屋」
赤福氷 530円

 
 

8月10日 氷はきめ細かく抹茶の蜜が濃厚で食べている間でも味が途切れることなく抹茶を楽しめます。 食べ進めると赤福が出てきます。氷の中でもお餅は柔らかくあんこは氷で溶けることなく赤福としてしっかり味わえます。 暑い夏には赤福氷は最高です。[C01]  


(有)たけるの 本店 菰野町田口新田
生カップ(すいかの生菓子) 180円

 
 

8月5日つい買ってしまうような可愛らしい形をしていて、口の中でさらっと溶け優しい甘さとやわらかさを感じます。 老若男女楽しめ、喜べるような美味しさを持った和菓子です。[B03]  


近鉄四日市 ナポリ
モンブラン(?) 550円

 
 

8月5日 モンブランの中に生クリームが入っていて甘さ控えめ。商品名に(?)が付いているのは中に洋梨が入っているからです。 タルトがとても香ばしくパサパサしていて栗との相性がとてもいいです。[B34]  


la contento 四日市市山城町
うれしい日のパンナコッタ(プレーン)¥480

 
 

8月6日 一日に販売する量が少ないという点に惹かれ、購入。普通のパンナコッタに比べ弾力があり、 無駄な加工がされてないためそのままの甘さを味わえる。冷やしてもそのままでも食べやすい舌触りのスイーツです。[B23]  


cake&cafeVANILLA いなべ市大安町鍋坂
桃果 \580

 
 

8月6日 季節限定の桃を使ったケーキで中にカスタードと生クリームが入っていてとても美味しい。 中のカスタードと生クリームの中にスポンジケーキも入っていて普通のケーキとはちょっと違ったケーキでした。[B12]  


FRUITS SNOW 桑名市北寺町
バナナミルクかき氷 800円

 
 

8月4日 熟したバナナとミルクで濃厚な味わいに。ボリューミーだがバナナミルク氷とミルク氷の2層構造で食べていて飽きない。 [B10]  


コメダ珈琲店 四日市富田店
ミックスベリーかき氷ミニ540円

 
 

8月4日 氷がふわふわで、ミックスベリーのソースがさっぱりしていて食べやすい。 ソースが氷の上だけでなく、下にも入っているので、最後までベリーの味がして美味しい。ミニでも ボリュームがあるのでおやつに丁度いい。[B19]  


パリの洋菓子 三重郡菰野町
レアチーズケーキ 365円

 
 

8月5日 ケーキの層が、下からタルト生地、スポンジ、レアチーズクリーム、生クリームで、 表面に細かく砕いたクッキーがまぶしてあります。さっぱりとしたレアチーズクリームで、とても食べやすかったです。[B37]  


kaul coffee 鈴鹿市中江島町
抹茶マカロン 310円

 
 

8月5日 ねっちりした食感、さっくりしててチーズの苦手な人にもおすすめ。 冷蔵庫で冷やすと甘すぎず美味しく食べやすかったです。他にも沢山の種類があるので飲み物と一緒に楽しめます。 [B16]  


喫茶ゾウメシ 愛知県名古屋市西区
メロンソーダ 550円

 
 

7月26日ソーダに乗っているアイスクリームは、キンキンに冷えている上にシャリッとした食感。 甘さ控えめでさっぱりとしていた。ソーダは炭酸弱めなのでアイスクリームと相性バッチリ◎ ひとつ[B30]  


CAKECOUPAGE 四日市市西坂部町
プリンアラモード 450円

 
 

7月27日 生クリームが甘さ控えめで甘いのが苦手な人でも美味しく食べられると思います。また、 生クリームと果実の甘酸っぱさがマッチしててとても美味しいです。底の方にはプリンがあり、 1つで色々な味を味わうことが出来、楽しみながら食べられるスイーツです! [B33]  


ユーハイム 近鉄四日市店
フランクフルータークランツ 480円

 
 

7月27日 周りにたくさんのナッツがついていて、中はバタークリームとスポンジの層となっている。食感が面白く、カリカリフワフワしている。 味は、ナッツのところが少し香ばしく、クリームとスポンジとの相性が良い。[B01]  


Good Living&Good Coffee 四日市市川島町
バスク風チーズケーキ 490円

 
 

7月31日 ケーキと冷たいバニラアイス、甘い生クリームの相性が良い。ケーキはしっとりとしているので、アイスやクリームなしでも食べやすい。[B24]  


パティスリーサンタ
ピーチ姫 1個500円

 
 

7月8日 伊賀市ゆめが丘2丁目5-8 パティスリーサンタ ピーチ姫 フォークがスルッと入る。ピーチが甘く中のカスタードと合い美味しい。[B29]  


お伊勢茶屋 土用もち 4個入り 228円

 
 

7月21日 サンシ宅配 あんこがなめらかで甘さ控えめで、美味しい。また、餅と、あんこのバランスが良く美味しい。[B21]  


パティスリー ラ セディーユ ガトーショコラ
1個370円 (税抜)

 
 

7月22日 四日市市日永2-5-45 生クリームはふわふわで、味は甘すぎず食べやすい。チョコに少し苦味があるから、甘い生クリームとの相性が良く、食感はしっとりとしていて美味しい。 紅茶や珈琲等と一緒に食べるのが、おすすめ。[B11]  


和菓子処 紀の国屋
「相国最中」1個180円
(神奈川県相模原市緑区)  
 

7月26日 薄くてパリパリの最中の優しい香りがあり、ざくっとした食感にぎっしりと詰まっている甘いあんこの贅沢な味わい。ボリュームがあり、1個で十分満足できる商品。お土産におすすめ。[B14]  


菓子工房 明月堂(四日市市尾平町3081)
レモンタルト 1個420円

 

7月21日 上がメレンゲでふんわりしている。メレンゲの下にあるレモンクリームがサクッとしたタルトとマッチングして美味しい。 上に乗っているレモン味のチョコはアクセントで美味しい。[B26]
第2報告  


sanrio character macaron 180円 

 
 

.

7/20 四日市アピタ 不二家 周りはサクサクしていて中はしっとりしている甘いマカロン [B28]  
.


へんばや商店 へんば餅 10個入り 800円  

 
 

7月21日 おはらい町店 餅は柔らかくて、焼いてあるので香ばしく、中のあんこはなめらかで甘さが口の中で広がる。 あんこの甘さと餅の香ばしい味が絶妙で美味しい。そして、お茶と一緒に食べるとさらに美味さが増す。 [B04]  


パティスリーコモノ メロンボール 1個756円(税込)  

 
 

7月21日 スタッフイチオシの商品です。スポンジと生クリームの上に薄く切ったメロンの果肉が球体の層になっていてメロン、 スポンジ、生クリームの甘さが控えめでさっぱりしていて美味しかった。[B35]  




------------------------------------------------------------------------------
2020.9.28        2020年度 わたしのスイーツベスト3     
------------------------------------------------------------------------------
  三重県立四日市商業高等学校 商業科第一学年「ビジネス基礎」夏休み課題_2020

                「ベストスイーツ上位3品」決定!

  
◇アンケート調査ではスイーツを選ぶ基準の第一が「見た目」でした。しかし「わたし のスイーツベスト2」に選ばれたのは地味系の逸品。色合いもグリーンへのこだわりの 商品に注目が集まりました。  お店の方々には、たいへん失礼な所業ではありますが、高校生も一人のお客として商 品を選ぶことはできます。何かの参考にしていただければこの上ない喜びです。  ご協力に心から感謝を申し上げますとともに、これからもご意見ご助言をいただけれ ばと願っております。                      担当教員:山本 アンケート結果(調査日:2020.9.26 対象クラス1年B/C)

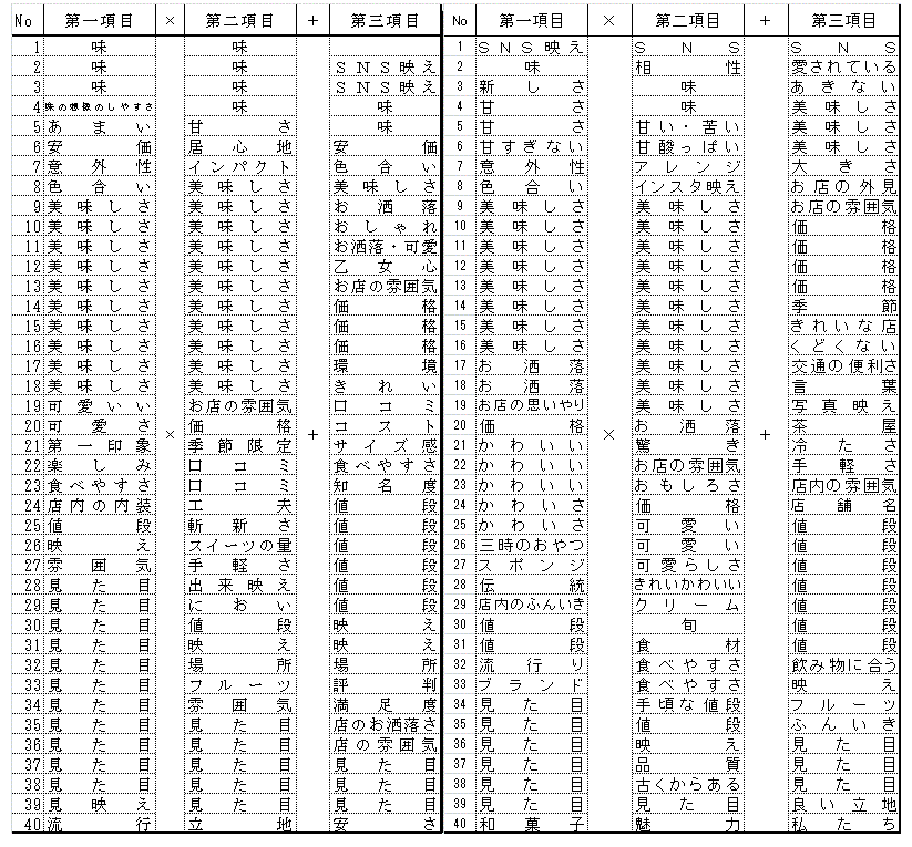
◇分析と報告 −LINEのリモートワークへの応用−◇  四日市商業高等学校 第1学年教科「ビジネス基礎」では、夏休みの課題「スイーツ の研究」にとりくみました。課題の総括として生徒たちの選んだ「2020_わたしの スイーツベスト3」を決めることができました。  ここに集計結果を報告させていただきます。併せて課題のとりくみを通して、生徒た ちの意識にどのような変化があったか報告させていただきます。手掛かりは、おもにア ンケート調査に寄せられた自由記述欄の生徒たちの声。  まず、着目したのは、問Aの「観察を通じてビジネスへの関心が深まりましたか?」 に「はい」と素直に回答したのが「72名」、起業家教育をテーマにとりくんできた筆 者にとって満足の結果です。しかし問Fの「ビジネス観察ノート」であなたは変わりま したか?には「はい」が44名と減少。「ビジネスへの関心が深まった」が、行動の変 容に多くは至っていないことを推察しなければなりません。今後の課題となりました。  今回の夏休みの課題は、LINEのオープンチャットを活用したことが大きな特徴で す。1学期の終り、授業資料にチャットへ招待するQRコードを掲載し本名での登録を 呼びかけました。最終の授業までに全ての生徒たちの登録が終わりました。当初、どこ まで課題にとりくめるかと心配しましたが夏休みに入り、オープンチャットに写真とコ メントが届きはじめるとホームページへのアップに多忙を極める日が続きました。夏休 みの最終週には全員の課題が届きました。    「夏休みの課題を取り組んで気づいたことを自由に記述してください」 @ 自分の知らないスイーツが色々あって見ているだけでもおなかがすくぐらいおいし そうだったし、その写真に合ったコメントを読んでいると、そんな に美味しいなら「 食べてみたい!」っていう気持ちが出ました。  文章を考えるのは普段嫌いですが、自分のスイーツにぴったりの気持ちを素直に書く ことで、スラスラ書けたのでよかったです!!もっといろんなスイーツを調べて見たい です。 A スイーツのお店には色々な種類のデザートがあり、季節限定のケーキなど多くの商 品がかいはつされていることがわかった。また写真の取り方によって美味しさや、見た 目が変化することが自分の中で一番びっくりした。  商品にあった価格、お店の雰囲気、おいしさ、見た目が良かった商品が売れることが わかった。もし自分が商品を売る仕事につくならばこのことに注目していきたい。 B 夏休みの課題に取り組んでとても楽しかったです。初めてLINEを使っての課題 最初は戸惑うことも多かったのですが、どんどんクラスのみんなのたくさんの投稿を見 るのが楽しかったです。  自分なりに調べたり、どんな言葉にしたら自分の思いが伝わるか、精一杯考えるのも テレビで見る食レポのようでおもしろかったです。スイーツ観察箱も個性が出ていて、 和菓子、洋菓子、日常で食べる自分へのごほうびのお菓子などたくさんあって選ぶのが 大変でした。その中で私は日常の中でたまに出てきて、その度に嬉しくなる「B07」 さんのスイーツを選びました。  なつかしさがあるのと、B07さんの思いやりのあるコメントが素敵だと思った。 課題でなくても、生産者、消費者のことを考え、美味しさや思いを共有しようと思いま した。 C 普段スイーツをなにげなく食べているけど、課題ででることによって、味に対して の関心がもっと強くなって、ただ「美味しい」だけでなくて「これはこんな味で美味し い」と思うようになりました。他の人が上げたのも食べたいなって思うようになったし こんなお店があったんだと新たな発見がありました。 D 課題として出すためにより味わって食べることができました。甘いものが苦手だけ ど、取り組みで苦手に挑戦することができてよかったと思います。みんなの報告を見て 「おいしそう」「食べてみたい」と思うことが多く行動にも移すことができました。お いしそうだなと思ったものひとつ食べに行きました。すごくおいしくて報告通りでした。  ひとつの食品に対して全体の一枚の画像しかなかったので、各方面からだったりアッ プの写真ものせたら、よりおいしそうに見えたり、食べたくなったりすると思いました。  今回、全体のものを見て、かわいさだったり、値段も大切だけれど一番は食べやすい 大きさなのかなと思いました。 E LINEでの提出なので夏休みの間、いつでも提出できるからこの提出方法はいい なと思った。ビジネス観察ノートで他の人のを見て、商品紹介の上手な仕方が学べたり いろんなスイーツが知れたから楽しく課題をすることができた。 F スイーツの報告をLINEですることによって、だれがどのスイーツを紹介してい るのか、家族でスイーツを食べに行く時、どこに行けばいいのかを決めることができる ので良いなと思いました。冬休みはスイーツではなく違うこともしてみたいなと思いま した。 G スイーツ研究をして、スイーツへの感心が高まりました。オープンチャットでクラ スのみんなが研究したスイーツを見て「こんなスイーツもあるんだ」「食べてみたい!」 という思いがたくさん感じられました。スイーツ研究をしてからスイーツを食べるとき に前よりも味わって、少し観察をしてから食べるようになりました。夏休みスイーツ研 究ができてよかったです。 ------------------------------------------------------------------------------           2020年度 ビジネス観察ノート      ------------------------------------------------------------------------------  短い夏休みでしたが、本年度もビジネス観察ノートを取り組むことができました。 今回の課題は「人気スイーツの方程式を考える」です。全部で81件の報告がありました。  ホームページで一覧表にすることができました。スイーツの研究は今年がはじめて、 ページの出来栄えは最高です。実にインス映えするものばかり。見ていて楽しいページ です。報告された分析結果は下記の通りです。 人気スイーツの方程式 =( 外観 )×( 味 )+( 価格 ) ( その他 )   ・インスタ映え・印象・流行・場所・季節・評判・雰囲気・インパクト・お店   ・乙女心・愛情・かわいい・知名度・意外性・数量限定・感動・文化・伝統  *お店の雰囲気 店員さんの対応